
ROMA – Prove Invalsi: le risposte corrette di italiano e matematica.ย E’ arrivato il giorno: oggi, giovedรฌ 16 giugno, รจ il giorno del Test Invalsi per gli studenti che affrontano l’esame di terza media.ย Il Test Invalsi 2016 รจ diviso in due parti: matematica e italiano.ย Gli studenti hanno a disposizione 75 minuti di tempo per rispondere alle domande di italiano e 75 minuti per rispondere a quelle di matematica.ย I contenuti dei test sono realizzati dallโIstituto Nazionale per la Valutazione del Sistema dellโIstruzione (INVALSI).
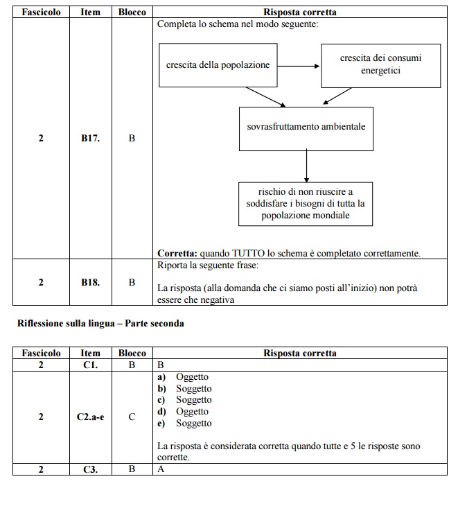
Questo il link per le griglie di correzione (come calcolare il punteggio finale e le domande) del test Invalsi 2016. Le griglie di correzione sono divise regione per regione. Questo il documento (PDF) con tutte le soluzioni del test.ย Per seguire gli aggiornamenti LIVE su Twitter clicca qui.
Lโesame di terza media รจ cosรฌ suddiviso: prova di italiano, prova di matematica, prova di lingua straniera, test Invalsi e la prova orale dove si dovrร presentare una testina o una mappa concettuale. Come si calcola il voto finale dellโesame di terza media?ย Il voto viene calcolato facendo la media aritmetica dei punteggiย delle prove scritte, della prova orale e del voto di ammissione allโesame. Prova di italiano. Queste le tipologie di tracce: lettera ad un amico, relazione di un libro, pagina di diario, tema di attualitร , relazione su una gita. La prova di matematica viene preparata dalla commissione e non dal Ministero dellโIstruzione.ย Gli studenti dovranno svolgere la prova di matematica in tre ore massimo. Ecco le tipologie di tracce per la prova di lingua straniera: lettera ad un amico e comprensione del testo.
Le risposte (per leggere tutte le risposte clicca qui) e le soluzioni alle Prove Invalsi 2016:
Le griglie di correzione, regione per regione:
|
|
| Mirror area Nord Est |
|
| Mirror area Centro |
|
| Mirror area Sud |
|
| Mirror area Sud e Isole |
|














